library(tidyverse)
theme_set(theme_light())
ionescu_shots <- read_csv("https://raw.githubusercontent.com/36-SURE/2024/main/data/ionescu_shots.csv")
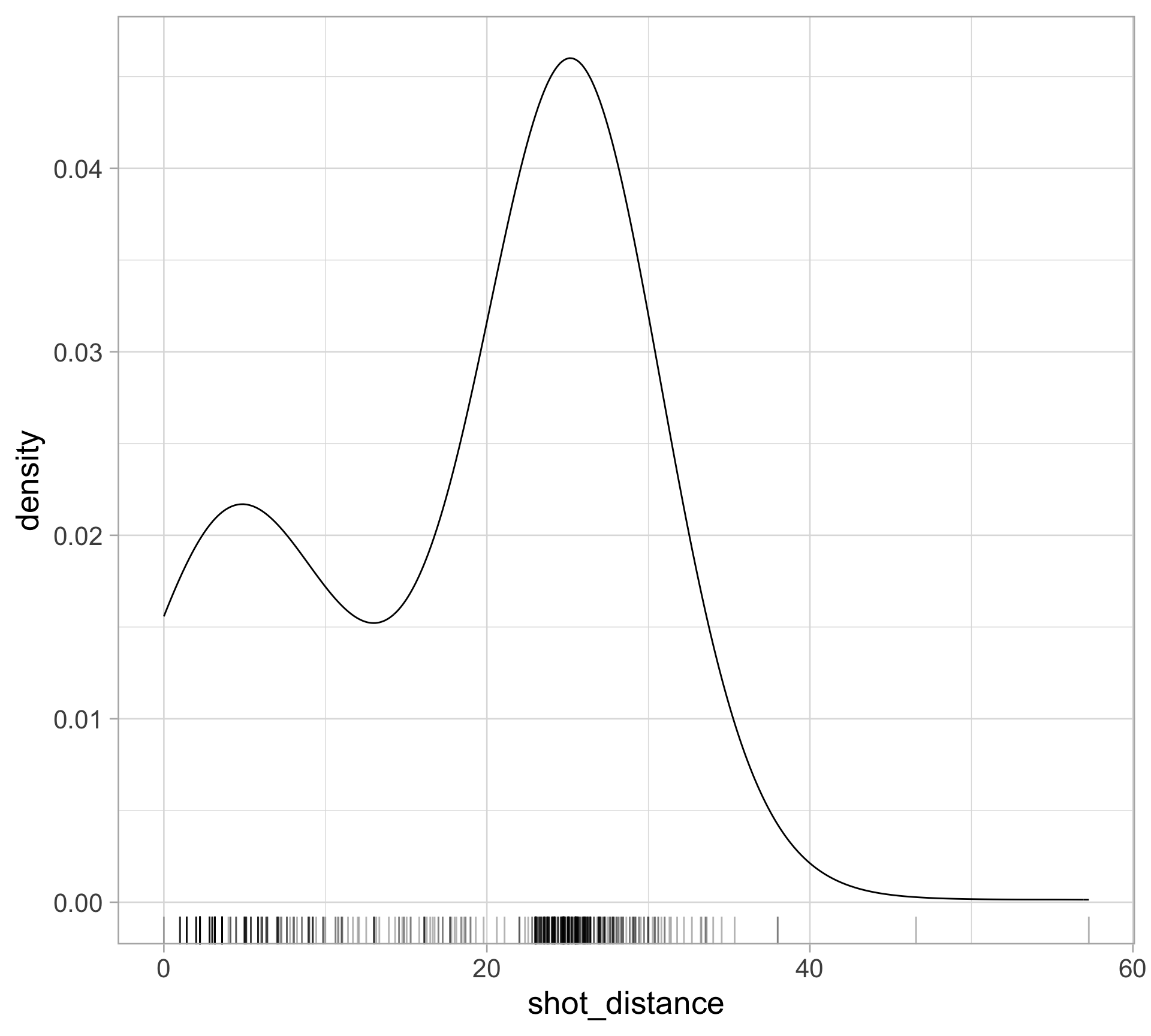
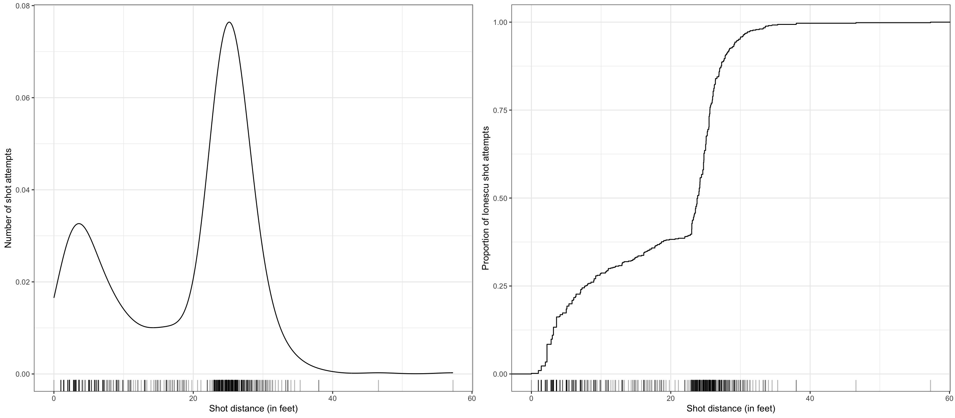
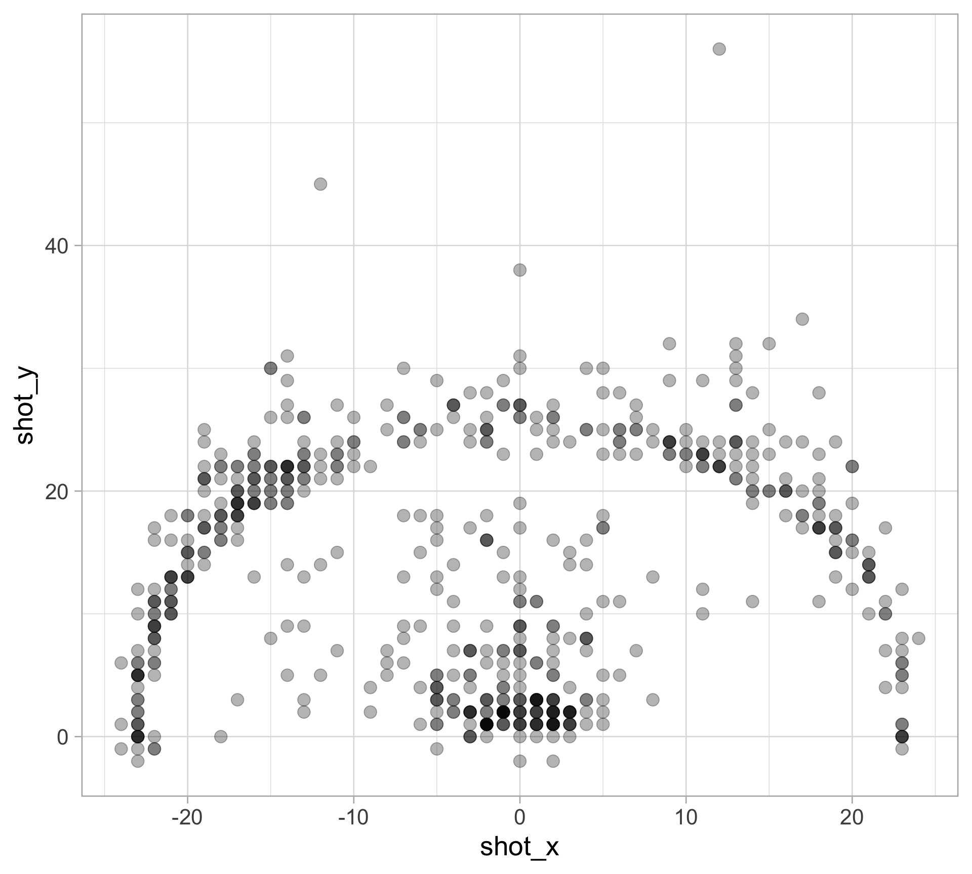
glimpse(ionescu_shots)Rows: 617
Columns: 6
$ shot_x <dbl> -10, 11, 2, -13, -18, 19, -1, 0, -1, -12, -1, -14, -7, -…
$ shot_y <dbl> 24, 23, 2, 21, 19, 16, 3, 2, 4, 5, 2, 21, 26, 14, 7, 6, …
$ shot_distance <dbl> 26.000000, 25.495098, 2.828427, 24.698178, 26.172505, 24…
$ shot_type <chr> "Pullup Jump Shot", "Running Jump Shot", "Cutting Layup …
$ scoring_play <lgl> FALSE, TRUE, FALSE, FALSE, TRUE, FALSE, TRUE, FALSE, FAL…
$ score_value <dbl> 0, 3, 0, 0, 3, 0, 2, 0, 0, 0, 0, 3, 0, 2, 0, 3, 3, 0, 0,…
























