library(tidyverse)
theme_set(theme_light())
pima <- as_tibble(MASS::Pima.tr)
pima <- pima |>
mutate(pregnancy = ifelse(npreg > 0, "Yes", "No")) # whether the patient has had any pregnanciesCategorical variables take values in an unordered set with different categories
Classification: predicting a categorical response \(Y\) for an observation (since it involves assigning the observation to a category/class)
Often, we are more interested in estimating the probability for each category of the response \(Y\)
Classification is different from clustering, since we know the true label \(Y\)
We will focus on binary categorical response (categorical response variables with only two categories)
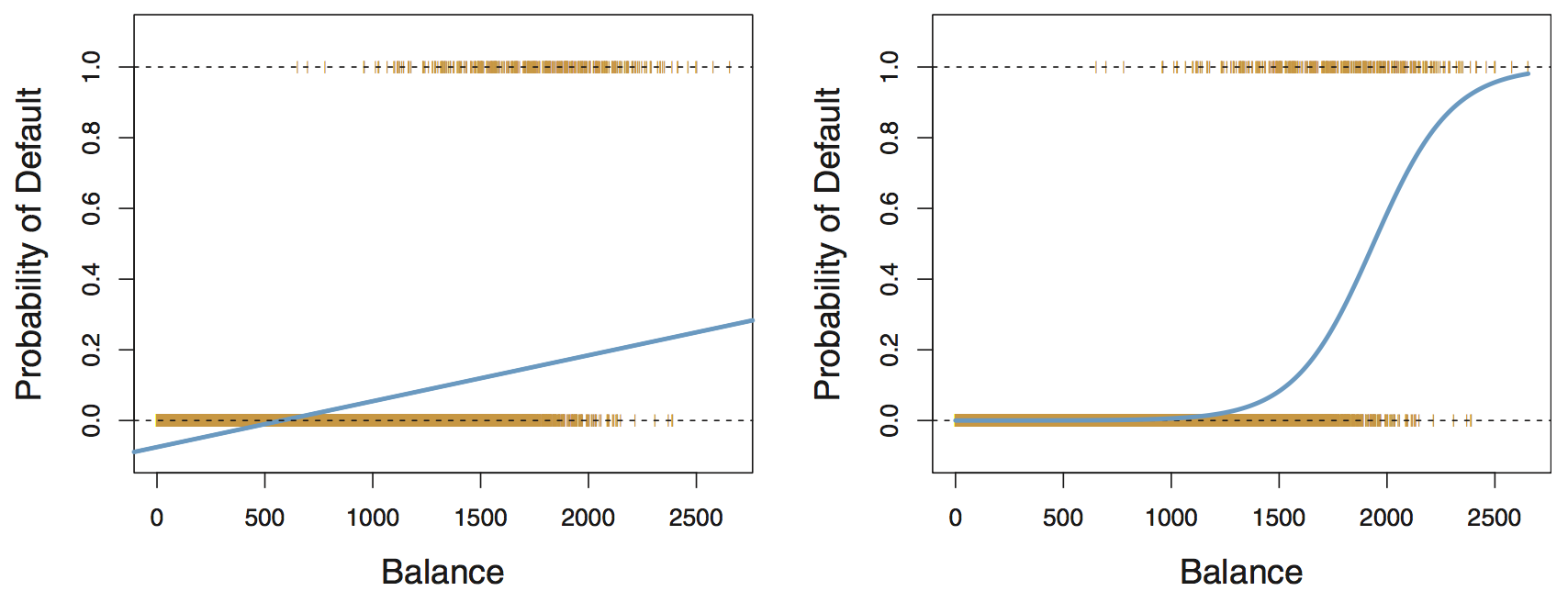
Review: in linear regression, the response variable \(Y\) is continuous
Logistic regression is used to model binary outcomes (i.e. \(Y \in \{0, 1\}\))
Similar concepts from linear regression
Other concepts are different
From ISLR:
Linear regression
predicted probabilities might be outside the \([0, 1]\) interval
Logistic regression
all probabilities lie between 0 and 1
Logistic regression models the probability of success \(p(x)\) of a binary response variable \(Y \in \{0, 1\}\)
To limit the regression between \([0, 1]\), we use the logit function, or the log-odds ratio
\[ \log \left( \frac{p(x)}{1 - p(x)} \right) = \beta_0 + \beta_1 x_1 + \cdots + \beta_p x_p \]
or equivalently,
\[ p(x) = \frac{e^{\beta_0 + \beta_1 x_1 + \cdots + \beta_p x_p}}{1 + e^{\beta_0 + \beta_1 x_1 + \cdots + \beta_p x_p}} \]
How: typically numerical approaches and optimization techniques
Reminder: probability density function (pdf) for a normal distribution \[f(y \mid \mu, \sigma) = \frac{1}{\sqrt{2\pi \sigma^2}} e^{\frac{-(y - \mu) ^ 2}{2 \sigma^2}}\]
Consider a simple linear regression model (with an intercept and one predictor) \[y_i = \beta_0 + \beta_1 x_i + \epsilon_i, \quad \epsilon_i \sim N(0, \sigma^2)\]
Then \(\qquad \displaystyle L(\beta_0, \beta_1, \sigma) = \prod_{i=1}^n f(y_i \mid x_i; \beta_0, \beta_1, \sigma) = \prod_{i=1}^n \frac{1}{\sqrt{2\pi \sigma^2}} e^{\frac{-(y_i - \beta_0 - \beta_1 x_i) ^ 2}{2 \sigma^2}}\)
And \(\qquad \displaystyle \log L(\beta_0, \beta_1, \sigma) = -\frac{n}{2} \log 2\pi - \frac{n}{2} \log \sigma^2 - \frac{1}{2 \sigma^2} \sum_{i=1}^n (y_i - \beta_0 - \beta_1x_1)^2\)
We can then use calculus to find the optimal parameter values. For more details, see here
Logistic regression involves numerical optimization
Major motivation for logistic regression (and all GLMs) is inference
\[\mathbb{E}[Y \mid x] = \beta_0 + \beta_1 x_1 + + \cdots + \beta_p x_p\]
\[\mathbb E[Y \mid x] = \frac{e^{\beta_0 + \beta_1 x_1 + \cdots + \beta_p x_p}}{1 + e^{\beta_0 + \beta_1 x_1 + \cdots + \beta_p x_p}}\]
Note:
The predicted response varies non-linearly with the predictor variable values
Interpretation on the odds scale
The odds of an event are the probability of the event divided by the probability of the event not occurring
\(\displaystyle \text{odds} = \frac{\text{probability}}{1 - \text{probability}}\)
\(\displaystyle \text{probability} = \frac{\text{odds}}{1 + \text{odds}}\)
Example: Rolling a fair six-sided die
The probability of rolling a 2 is 1/6
The odds of rolling a 2 is 1 to 5 (or 1:5)
Suppose we fit a simple logistic regression model (with one predictor), and say the predicted probability is 0.8 for a particular predictor value
This means that if we were to repeatedly sample response values given that predictor variable value: we expect class 1 to appear 4 times as often as class 0 \[\text{odds} = \frac{\mathbb{E}[Y \mid x]}{1-\mathbb{E}[Y \mid x]} = \frac{0.8}{1-0.8} = 4 = e^{\beta_0+\beta_1x}\]
Thus we say that for the given predictor variable value, the odds are 4 (or 4:1) in favor of class 1
How does the odds change if we change the value of a predictor variable by one unit?
\[\text{odds}_{\rm new} = e^{\beta_0+\beta_1(x+1)} = e^{\beta_0+\beta_1x}e^{\beta_1} = e^{\beta_1}\text{odds}_{\rm old}\]
For every unit change in \(x\), the odds change by a factor \(e^{\beta_1}\)
Each observation represents one Pima woman, at least 21 years old, who was tested for diabetes as part of the study.
type: if they had diabetes according to the diagnostic criteria
npreg: number of pregnancies
bp: blood pressure
glm function, but specify the family is binomialtidy() function in the broom packagepima_logit <- glm(type ~ pregnancy + bp, data = pima, family = binomial)
library(broom)
# summary(pima_logit)
tidy(pima_logit)# A tibble: 3 × 5
term estimate std.error statistic p.value
<chr> <dbl> <dbl> <dbl> <dbl>
1 (Intercept) -3.16 1.08 -2.94 0.00329
2 pregnancyYes -0.468 0.427 -1.10 0.273
3 bp 0.0403 0.0140 2.89 0.00391
# A tibble: 3 × 7
term estimate std.error statistic p.value conf.low conf.high
<chr> <dbl> <dbl> <dbl> <dbl> <dbl> <dbl>
1 (Intercept) 0.0422 1.08 -2.94 0.00329 0.00472 0.329
2 pregnancyYes 0.626 0.427 -1.10 0.273 0.272 1.47
3 bp 1.04 0.0140 2.89 0.00391 1.01 1.07
# A tibble: 3 × 5
term estimate std.error statistic p.value
<chr> <dbl> <dbl> <dbl> <dbl>
1 (Intercept) -3.16 1.08 -2.94 0.00329
2 pregnancyYes -0.468 0.427 -1.10 0.273
3 bp 0.0403 0.0140 2.89 0.00391
# A tibble: 3 × 5
term estimate std.error statistic p.value
<chr> <dbl> <dbl> <dbl> <dbl>
1 (Intercept) -3.16 1.08 -2.94 0.00329
2 pregnancyYes -0.468 0.427 -1.10 0.273
3 bp 0.0403 0.0140 2.89 0.00391
# A tibble: 3 × 5
term estimate std.error statistic p.value
<chr> <dbl> <dbl> <dbl> <dbl>
1 (Intercept) -3.16 1.08 -2.94 0.00329
2 pregnancyYes -0.468 0.427 -1.10 0.273
3 bp 0.0403 0.0140 2.89 0.00391
Blood pressure: each unit of increase in blood pressure (in mmHg) is associated with an increase in the log-odds of diabetes of 0.0403, or an increase in the odds of diabetes by a multiplicative factor of exp(0.0403) = 1.04
Nonlinear relationship between blood pressure and probability of diabetes
The gap between women who were or were not previously pregnant is different across the range
For model of interest \(\mathcal{M}\) the total deviance is
\[D_{\mathcal{M}}= -2 \log \frac{\mathcal{L}_{\mathcal{M}}}{\mathcal{L}_{\mathcal{S}}} = 2\left(\log \mathcal{L}_{\mathcal{S}}-\log \mathcal{L}_{\mathcal{M}}\right)\]
\(\mathcal{L}_{\mathcal{S}}\) is the likelihood for the saturated model, with \(n\) parameters
Deviance is a measure of goodness-of-fit: the smaller the deviance, the better the fit
For more, see here
Min. 1st Qu. Median Mean 3rd Qu. Max.
-1.5293 -0.9156 -0.7463 -0.0990 1.3205 1.9326
Remember Pearson residual?
A deviance residual is an alternative residual for logistic regression based on the discrepancy between the observed values and those estimated using the likelihood \[d_i = \mbox{sign}(y_i-\hat{p}_i) \sqrt{-2[y_i \log \hat{p}_i + (1-y_i) \log (1 - \hat{p}_i)]}\] where \(y_i\) is the \(i\)-th observed response and \(\hat p_i\) is the estimated probability of success
Note: The use of the sign of the difference ensures that the deviance residuals are positive/negative when the observation is larger/smaller than predicted.
# A tibble: 1 × 8
null.deviance df.null logLik AIC BIC deviance df.residual nobs
<dbl> <int> <dbl> <dbl> <dbl> <dbl> <int> <int>
1 256. 199 -123. 252. 262. 246. 197 200
deviance = 2 * logLik
null.deviance corresponds to intercept-only model
AIC = 2 * df.residual - 2 * logLik
We will consider these to be less important than out-of-sample/test set performances
The default output of predict() is on the log-odds scale
To get predicted probabilities, specify type = "response
How do we predict the class (diabetes or not)?
Typically if predicted probability is > 0.5 then we predict Yes, else No
1 and 0 Observed
Predicted No Yes
No 125 60
Yes 7 8
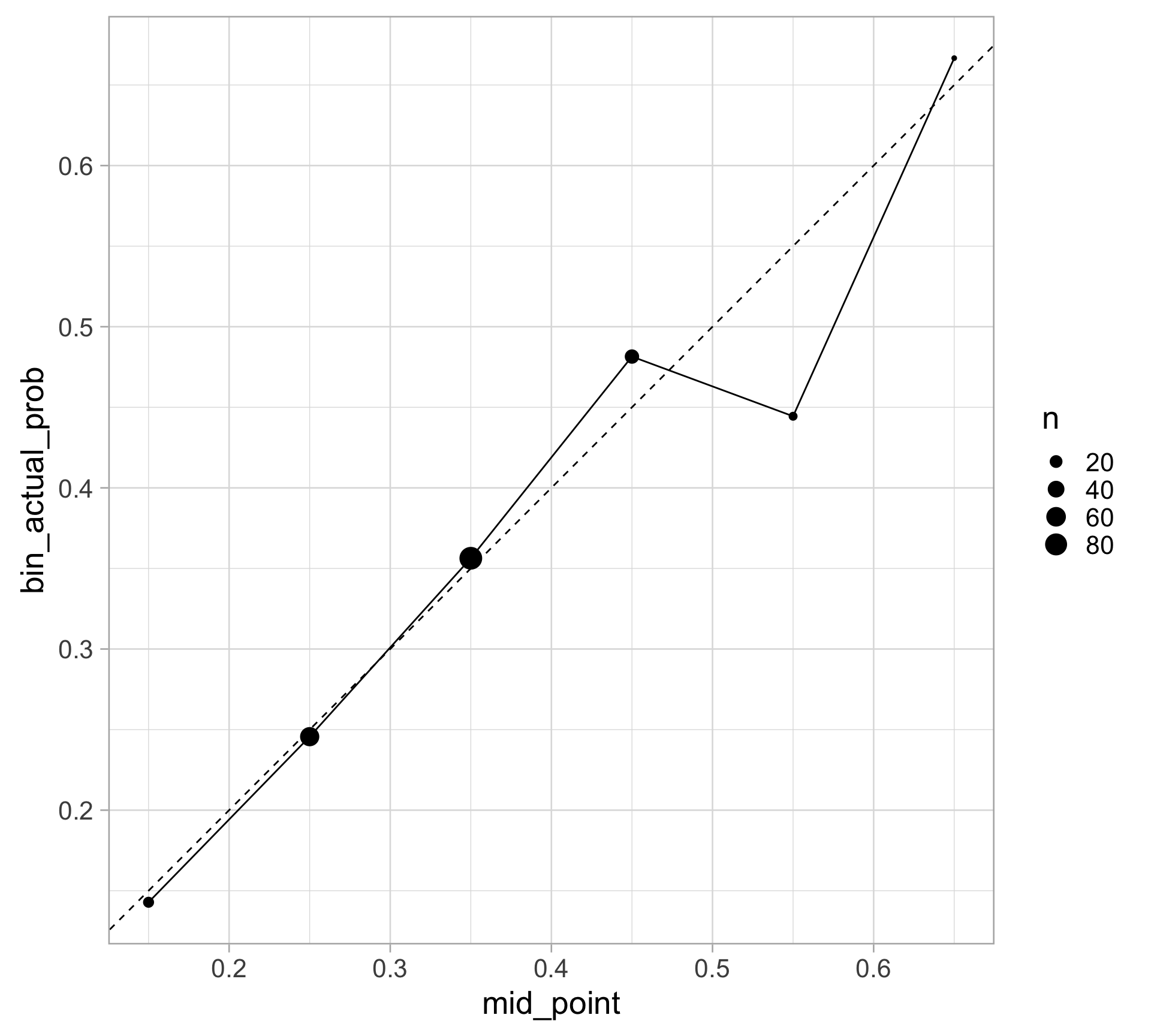
If we have a model that tells us the probability of rain in a given time period (i.e. a week) is 50%, it had better rain on half of the days, or the model is just wrong about the probability of rain
A classifier is calibrated if in the given time period, the percentage of days it actually rained when the forecast predicted \(x \%\) percent chance of rain is \(x \%\)
In short, for a model to be calibrated, the actual probabilities should match the predicted probabilities
See also: Hosmer-Lemeshow test
Plot the observed outcome against the fitted probability, and apply a smoother
Looks good for the most part
odd behavior for high probability values
since there are only a few observations with high predicted probability

pima |>
mutate(
pred_prob = predict(pima_logit, type = "response"),
bin_pred_prob = cut(pred_prob, breaks = seq(0, 1, .1))
) |>
group_by(bin_pred_prob) |>
summarize(n = n(),
bin_actual_prob = mean(type == "Yes")) |>
mutate(mid_point = seq(0.15, 0.65, 0.1)) |>
ggplot(aes(x = mid_point, y = bin_actual_prob)) +
geom_point(aes(size = n)) +
geom_line() +
geom_abline(slope = 1, intercept = 0,
color = "black", linetype = "dashed") +
# expand_limits(x = c(0, 1), y = c(0, 1)) +
coord_fixed()
probably package in R
Formally, a classifier is calibrated (or well-calibrated) when \(P(Y = 1 \mid\hat p(X) = p) = p\)