
Goal: partition \(n\) data points into \(K\) subgroups, where roughly points within group are more “similar” than points between groups
Previous methods: \(k\)-means clustering and hierarchical clustering
Classification
We are given labeled (categorical) data
Focus on generalization (i.e. we want to have a classifier that performs well on predicting new (test) data)
Clustering
We are only given the points (with no labels)
We want to find interesting subgroups/structure in the data
Previous methods: \(k\)-means clustering and hierarchical clustering
Output hard assignments, strictly assigning observations to only one cluster
What about soft assignments and uncertainty in the clustering results?
Assigns each observation a probability of belonging to a cluster
Incorporate statistical modeling into clustering
Key idea: data are considered as coming from a mixture of underlying probability distributions
Most popular method: Gaussian mixture model (GMM)
Each observation is assumed to be distributed as one of \(k\) multivariate normal distributions
\(k\) is the number of clusters (components)
Kernel density estimator: \(\displaystyle \hat{f}(x) = \frac{1}{n} \sum_{i=1}^n \frac{1}{h} K_h(x - x_i)\)
Smooth each data point into a small density bumps
Sum all these small bumps together to obtain the final density estimate
Use every observation when estimating the density for new points
We want to estimate the density of the points in some way that allows us to extract clusters

Formally, \[\displaystyle f(x) = \sum_{k=1}^K \tau_k f_k(x)\]
where
\(f_k\) are some distributions
\(\tau_k \ge 0\) and \(\sum_{k=1}^K \tau_k = 1\) are the mixture weights
\(K\) is the number of mixture components (i.e. the number of clusters)
This is a data generating process
Imagine that each cluster (component) has a different distribution
Task: Generate a new observation (i.e. sample) from a mixture model
Choose a cluster by drawing \(Z \in \{1, \dots, K\}\), where \(P(Z = k) = \tau_k\)
Generate an observation from the distribution \(f_Z\) (corresponding to cluster \(Z\))
Hence \(\displaystyle f(x) = \sum_{k=1}^K P(Z = k) p (x \mid Z = k) = \sum_{k=1}^K \tau_k f_Z(x)\)
Assume a parametric mixture model, with parameters \(\theta_k\) for the \(k\)th component \[f(x) = \sum_{k=1}^K \tau_k f_k(x; \theta_k)\]
Gaussian mixture models (GMMs) are perhaps the most popular mixture models
\[f_k(x; \theta_k) = N(x; \mu_k, \sigma_k^2) = \frac{1}{\sqrt{2 \pi \sigma_k^2}}\text{exp} \left( -\frac{(x - \mu_k)^2}{2 \sigma_k^2} \right)\]
with mean \(\mu_k\) and variance \(\sigma_k ^2\)
Model \(\tau_1, \tau_2, \tau_3\) and
\(f_{\text{red}}(x) = N(\mu_{\text{red}}, \sigma^2_{\text{red}})\)
\(f_{\text{blue}}(x) = N(\mu_{\text{blue}}, \sigma^2_{\text{blue}})\)
\(f_{\text{green}}(x) = N(\mu_{\text{green}}, \sigma^2_{\text{green}})\)
What can we do to soft-cluster our data?
For an observation \(x\), compute the weight for \(x\) to belong to cluster \(k\) for \(k \in \{1, \dots, K\}\) \[ P(Z = k \mid X = x) = \frac{P(X = x \mid Z = k) P(Z = k)}{\sum_{j}P(X = x \mid Z = j) P(Z = j)} =\frac{\tau_{k} \ N(\mu_{k}, \sigma_{k}^{2})}{\sum_{j=1}^{K} \tau_{j} \ N(\mu_{j}, \sigma^2_{j})}\]
(recall that \(\displaystyle f(x) = \sum_{k=1}^K \tau_k \ N(\mu_k, \sigma^2_k)\))
How do we estimate the parameters of the mixture model (i.e. the \(\tau_k, \mu_k, \sigma_k\))?
We don’t know which component (i.e. the true labels) an observation actually belongs to
\(Z\) is a latent variable (since the true cluster labels are not observed)
This is known as the missing data or latent variable problems
Likelihood function: how likely to observe data for given parameter values
Setup: Given observations \(X_1, \dots, X_n\)
Task: Estimate the parameters of a mixture model
\[\mathcal L\{\left(\tau_k, \mu_k, \sigma^2_k \right)_{k=1}^K\} = \sum_{i=1}^n \log f(X_i) = \sum_{i=1}^n \log \left[\sum_{k=1}^K f(X_i, k)\right]\]
Expectation–maximization (EM) algorithm is a method for (approximately) maximizing the (marginal) likelihood in the presence of missing data
For a GMM:
First, initialize the model parameters randomly
Then, alternate between the following two steps (keep repeating until nothing changes)
E-step: compute the cluster memberships for each point
M-step: recompute/update the parameters
Alternate between the following:
Start with initial guesses about \(\tau_1, \dots, \tau_k\), \(\mu_1, \dots, \mu_k\), \(\sigma_1, \dots, \sigma_k\)
Repeat until nothing changes:
E-step: calculate \(\hat{z}_{ik}\), the weight for observation \(i\) belonging to cluster \(k\)
M-step: update parameter estimates with weighted MLE using \(\hat{z}_{ik}\)
This resembles the \(k\)-means algorithm!
The cluster centroids are chosen at random, and then recomputed/updated
This is repeated until the cluster assignments stop changing
From the EM algorithm: \(\hat{z}_{ik}\) is the estimated weight for observation \(i\) belonging to cluster \(k\) (i.e. soft membership)
assign observation \(i\) to a cluster with the largest \(\hat{z}_{ik}\)
measure cluster assignment uncertainty of \(\displaystyle 1 - \max_k \hat{z}_{ik}\)
Our parameters determine the type of clusters
In the 1D case, there are two options:
But that is only 1D… what happens in multiple dimensions?
\[f(x) = \sum_{k=1}^K \tau_k f_k(x; \theta_k) \qquad \text{where }f_k(x; \theta_k) \sim N(\boldsymbol{\mu}_k, \boldsymbol{\Sigma}_k)\]
Each component is a multivariate normal distribution:
\[\sum=\left[\begin{array}{cccc} \sigma_{1}^{2} & \sigma_{1,2} & \cdots & \sigma_{1, p} \\ \sigma_{2,1} & \sigma_{2}^{2} & \cdots & \sigma_{2, p} \\ \vdots & \vdots & \ddots & \vdots \\ \sigma_{p, 1} & \sigma_{p, 2}^{2} & \cdots & \sigma_{p}^{2} \end{array}\right]\]
\[\sum=\left[\begin{array}{cccc} \sigma_{1}^{2} & \sigma_{1,2} & \cdots & \sigma_{1, p} \\ \sigma_{2,1} & \sigma_{2}^{2} & \cdots & \sigma_{2, p} \\ \vdots & \vdots & \ddots & \vdots \\ \sigma_{p, 1} & \sigma_{p, 2}^{2} & \cdots & \sigma_{p}^{2} \end{array}\right]\]
As the number of dimensions increases, model fitting and estimation become increasingly difficult
We can use constraints on multiple aspects of the \(k\) covariance matrices:
volume: size of the clusters, i.e., number of observations,
shape: direction of variance, i.e. which variables display more variance
orientation: aligned with axes (low covariance) versus tilted (due to relationships between variables)
The three letters in the model name denote, in order, the volume, shape, and orientation across clusters
E: equal and V: varying (VVV is the most flexible, but has the most parameters)
Two II: spherical, one I: diagonal, the remaining are general
How do we know which one to choose?
This is a statistical model
\[f(x) = \sum_{k=1}^K \tau_k f_k(x; \theta_k) \qquad \text{where }f_k(x; \theta_k) \sim N(\boldsymbol{\mu}_k, \boldsymbol{\Sigma}_k)\]
Use a model selection procedure for determining which best characterizes the data
Specifically, use a penalized likelihood measure \[\text{BIC} = 2\log \mathcal{L} - m\log n\]
\(\log \mathcal{L}\): log-likelihood of the considered model
with \(m\) parameters (VVV has the most parameters) and \(n\) observations
penalizes large models with many clusters without constraints
use BIC to choose the covariance constraints AND number of clusters
Obtained via ballr package
library(tidyverse)
theme_set(theme_light())
nba_players <- read_csv("https://raw.githubusercontent.com/36-SURE/2024/main/data/nba_players.csv")
head(nba_players)# A tibble: 6 × 33
rk player pos age tm g gs mp fg fga fgpercent x3p
<dbl> <chr> <chr> <dbl> <chr> <dbl> <dbl> <dbl> <dbl> <dbl> <dbl> <dbl>
1 1 Preciou… PF-C 24 TOT 74 18 1624 7.2 14.4 0.501 0.8
2 2 Bam Ade… C 26 MIA 71 71 2416 10.9 21 0.521 0.3
3 3 Ochai A… SG 23 TOT 78 28 1641 5.2 12.7 0.411 1.8
4 4 Santi A… PF 23 MEM 61 35 1618 7.5 17.2 0.435 3.2
5 5 Nickeil… SG 25 MIN 82 20 1921 6.1 13.8 0.439 3.4
6 6 Grayson… SG 28 PHO 75 74 2513 6.6 13.3 0.499 4
# ℹ 21 more variables: x3pa <dbl>, x3ppercent <dbl>, x2p <dbl>, x2pa <dbl>,
# x2ppercent <dbl>, ft <dbl>, fta <dbl>, ftpercent <dbl>, orb <dbl>,
# drb <dbl>, trb <dbl>, ast <dbl>, stl <dbl>, blk <dbl>, tov <dbl>, pf <dbl>,
# pts <dbl>, x <lgl>, ortg <dbl>, drtg <dbl>, link <chr>
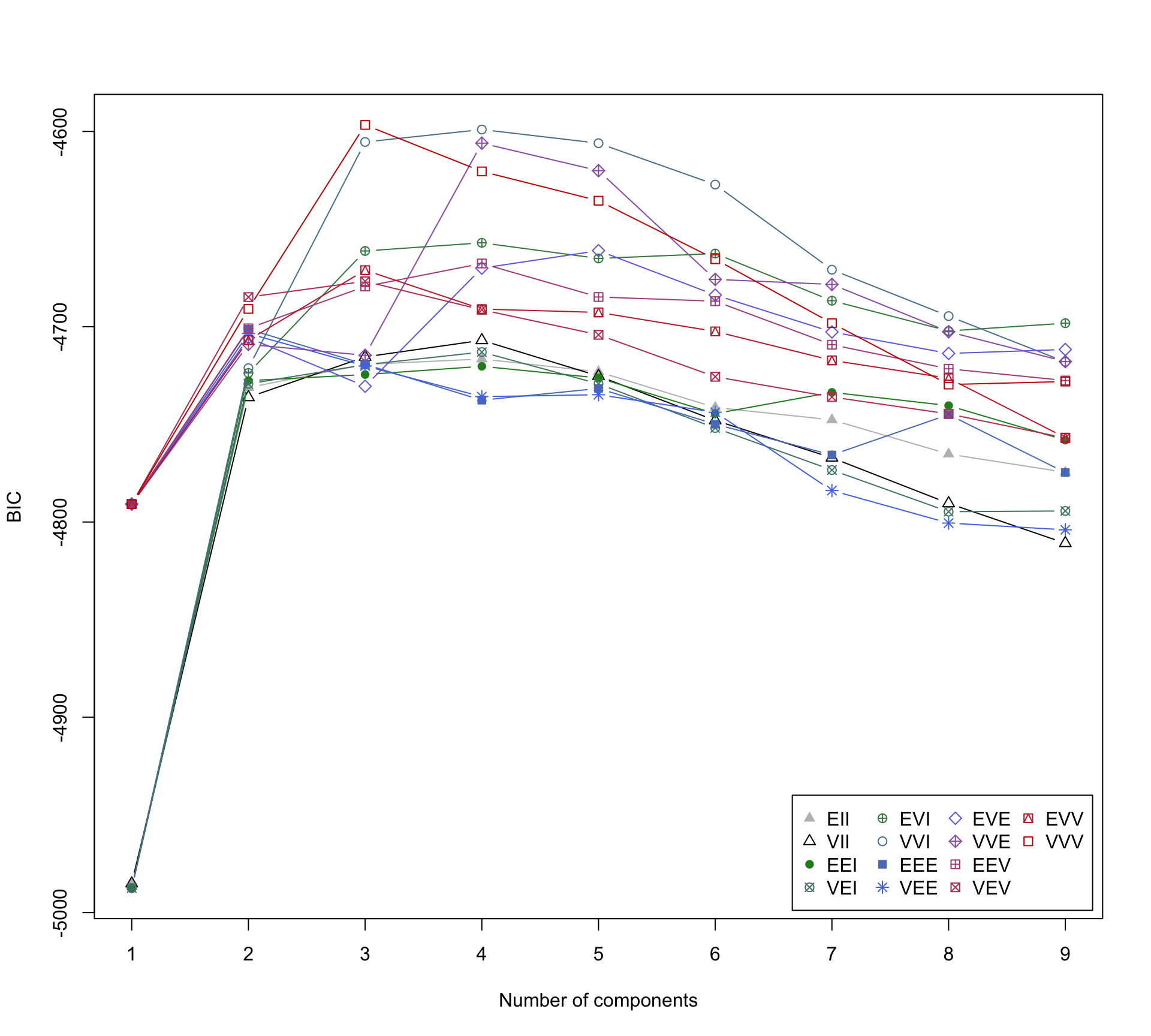
mclust packageSelect the model and number of clusters
Use Mclust() function to search over 1 to 9 clusters (default) and the different covariance constraints (i.e. models)
library(mclust)
# x3pa: 3pt attempts per 100 possessions
# trb: total rebounds per 100 possessions
nba_mclust <- nba_players |>
select(x3pa, trb) |>
Mclust()
summary(nba_mclust)----------------------------------------------------
Gaussian finite mixture model fitted by EM algorithm
----------------------------------------------------
Mclust VVV (ellipsoidal, varying volume, shape, and orientation) model with 3
components:
log-likelihood n df BIC ICL
-2246.359 452 17 -4596.65 -4739.919
Clustering table:
1 2 3
40 280 132
Two-way table to compare the clustering assignments with player positions
(What’s the way to visually compare the two labels?)
Positions
Clusters C C-PF PF PF-C PF-SF PG PG-SG SF SF-PF SF-SG SG SG-PG
1 34 2 3 0 0 1 0 0 0 0 0 0
2 3 0 33 0 1 78 4 70 1 1 88 1
3 43 1 53 1 0 3 0 22 1 0 8 0
Takeaway: positions tend to fall within particular clusters
nba_player_probs <- nba_mclust$z
colnames(nba_player_probs) <- c("cluster1", "cluster2", "cluster3")
nba_player_probs <- nba_player_probs |>
as_tibble() |>
mutate(player = nba_players$player) |>
pivot_longer(!player, names_to = "cluster", values_to = "prob")
nba_player_probs |>
ggplot(aes(prob)) +
geom_histogram() +
facet_wrap(~ cluster)nba_players |>
mutate(cluster = nba_mclust$classification,
uncertainty = nba_mclust$uncertainty) |>
group_by(cluster) |>
slice_max(uncertainty, n = 5) |>
mutate(player = fct_reorder(player, uncertainty)) |>
ggplot(aes(x = uncertainty, y = player)) +
geom_point(size = 3) +
facet_wrap(~ cluster, scales = "free_y", nrow = 3)
What if the data are not normal (ish) and instead are skewed?
Apply a transformation, then perform GMM
GMM on principal components of data
Review paper: Model-Based Clustering
Book: Model-Based Clustering and Classification for Data Science