library(tidyverse)
theme_set(theme_light())
pima <- as_tibble(MASS::Pima.tr)
pima <- pima |>
mutate(pregnancy = ifelse(npreg > 0, "Yes", "No")) # whether the patient has had any pregnanciesWe will first focus on binary categorical response (categorical response variables with only two categories)
Similar concepts from linear regression
Other concepts are different
Linear regression: predicted probabilities might be outside the \([0, 1]\) interval
Logistic regression: ensures all probabilities lie between 0 and 1
\[ \log \left( \frac{p(x)}{1 - p(x)} \right) = \beta_0 + \beta_1 x_1 + \cdots + \beta_p x_p \]
or equivalently,
\[ p(x) = \frac{e^{\beta_0 + \beta_1 x_1 + \cdots + \beta_p x_p}}{1 + e^{\beta_0 + \beta_1 x_1 + \cdots + \beta_p x_p}} \]
How: typically numerical approaches and optimization techniques
Reminder: probability density function (pdf) for a normal distribution \[f(y \mid \mu, \sigma) = \frac{1}{\sqrt{2\pi \sigma^2}} e^{\frac{-(y - \mu) ^ 2}{2 \sigma^2}}\]
Consider a simple linear regression model (with an intercept and one predictor) \[y_i = \beta_0 + \beta_1 x_i + \epsilon_i, \quad \epsilon_i \sim N(0, \sigma^2)\]
Then \(\qquad \displaystyle L(\beta_0, \beta_1, \sigma) = \prod_{i=1}^n f(y_i \mid x_i; \beta_0, \beta_1, \sigma) = \prod_{i=1}^n \frac{1}{\sqrt{2\pi \sigma^2}} e^{\frac{-(y_i - \beta_0 - \beta_1 x_i) ^ 2}{2 \sigma^2}}\)
And \(\qquad \displaystyle \log L(\beta_0, \beta_1, \sigma) = -\frac{n}{2} \log 2\pi - \frac{n}{2} \log \sigma^2 - \frac{1}{2 \sigma^2} \sum_{i=1}^n (y_i - \beta_0 - \beta_1x_1)^2\)
We can then use optimization methods (e.g., simple calculus) to find the optimal parameter values.
For more details, see here
Logistic regression involves numerical optimization
Major motivation for logistic regression (and all GLMs) is inference
\[\mathbb{E}[Y \mid x] = \beta_0 + \beta_1 x_1 + + \cdots + \beta_p x_p\]
\[\mathbb E[Y \mid x] = \frac{e^{\beta_0 + \beta_1 x_1 + \cdots + \beta_p x_p}}{1 + e^{\beta_0 + \beta_1 x_1 + \cdots + \beta_p x_p}}\]
Note:
The predicted response varies non-linearly with the predictor variable values
Interpretation on the odds scale
The odds of an event are the probability of the event divided by the probability of the event not occurring
\(\displaystyle \text{odds} = \frac{\text{probability}}{1 - \text{probability}}\)
\(\displaystyle \text{probability} = \frac{\text{odds}}{1 + \text{odds}}\)
Example: Rolling a fair six-sided die
The probability of rolling a 2 is 1/6
The odds of rolling a 2 is 1 to 5 (or 1:5)
Suppose we fit a simple logistic regression model (with one predictor), and say the predicted probability is 0.8 for a particular predictor value
This means that if we were to repeatedly sample response values given that predictor variable value: we expect class 1 to appear 4 times as often as class 0 \[\text{odds} = \frac{\mathbb{E}[Y \mid x]}{1-\mathbb{E}[Y \mid x]} = \frac{0.8}{1-0.8} = 4 = e^{\beta_0+\beta_1x}\]
Thus we say that for the given predictor variable value, the odds are 4 (or 4:1) in favor of class 1
How does the odds change if we change the value of a predictor variable by one unit?
\[\text{odds}_{\rm new} = e^{\beta_0+\beta_1(x+1)} = e^{\beta_0+\beta_1x}e^{\beta_1} = e^{\beta_1}\text{odds}_{\rm old}\]
For every unit change in \(x\), the odds change by a factor \(e^{\beta_1}\)
Each observation represents one Pima woman, at least 21 years old, who was tested for diabetes as part of the study.
type: if they had diabetes according to the diagnostic criteria
npreg: number of pregnancies
bp: blood pressure
glm function, but specify the family is binomialtidy() function in the broom package# A tibble: 3 × 5
term estimate std.error statistic p.value
<chr> <dbl> <dbl> <dbl> <dbl>
1 (Intercept) -3.16 1.08 -2.94 0.00329
2 pregnancyYes -0.468 0.427 -1.10 0.273
3 bp 0.0403 0.0140 2.89 0.00391
# A tibble: 3 × 7
term estimate std.error statistic p.value conf.low conf.high
<chr> <dbl> <dbl> <dbl> <dbl> <dbl> <dbl>
1 (Intercept) 0.0422 1.08 -2.94 0.00329 0.00472 0.329
2 pregnancyYes 0.626 0.427 -1.10 0.273 0.272 1.47
3 bp 1.04 0.0140 2.89 0.00391 1.01 1.07
# A tibble: 3 × 5
term estimate std.error statistic p.value
<chr> <dbl> <dbl> <dbl> <dbl>
1 (Intercept) -3.16 1.08 -2.94 0.00329
2 pregnancyYes -0.468 0.427 -1.10 0.273
3 bp 0.0403 0.0140 2.89 0.00391
Blood pressure: each unit of increase in blood pressure (in mmHg) is associated with an increase in the log-odds of diabetes of 0.0403, or an increase in the odds of diabetes by a multiplicative factor of exp(0.0403) = 1.04
Recall that in linear regression, we have the residual sum of squares (RSS)—an RSS of 0 means the model predicts perfectly
In logistic regression, the RSS is less meaningful; instead we define the deviance as a measure of goodness-of-fits
Generalization of RSS in linear regression to any distribution family
\[D_{\mathcal{M}}= -2 \log \frac{\mathcal{L}_{\mathcal{M}}}{\mathcal{L}_{\mathcal{S}}} = 2\left(\log \mathcal{L}_{\mathcal{S}}-\log \mathcal{L}_{\mathcal{M}}\right)\]
For more, see here
# A tibble: 1 × 8
null.deviance df.null logLik AIC BIC deviance df.residual nobs
<dbl> <int> <dbl> <dbl> <dbl> <dbl> <int> <int>
1 256. 199 -123. 252. 262. 246. 197 200
deviance = 2 * logLik
null.deviance corresponds to intercept-only model
AIC = 2 * df.residual - 2 * logLik
We will consider these to be less important than out-of-sample/test set performance
The default output of predict() is on the log-odds scale
To get predicted probabilities, specify type = "response
How do we predict the class (diabetes or not)?
Typically if predicted probability is > 0.5 then we predict Yes, else No
1 and 0Accuracy: How often is the classifier correct? \((\text{TP} + \text{TN}) \ / \ {\text{total}}\)
Precision: How often is it right for predicted positives? \(\text{TP} \ / \ (\text{TP} + \text{FP})\)
Sensitivity (or true positive rate (TPR) or power): How often does it detect positives? \(\text{TP} \ / \ (\text{TP} + \text{FN})\)
Specificity (or true negative rate (TNR), or 1 - false positive rate (FPR)): How often does it detect negatives? \(\text{TN} \ / \ (\text{TN} + \text{FP})\)
Area under the curve: 0.6428

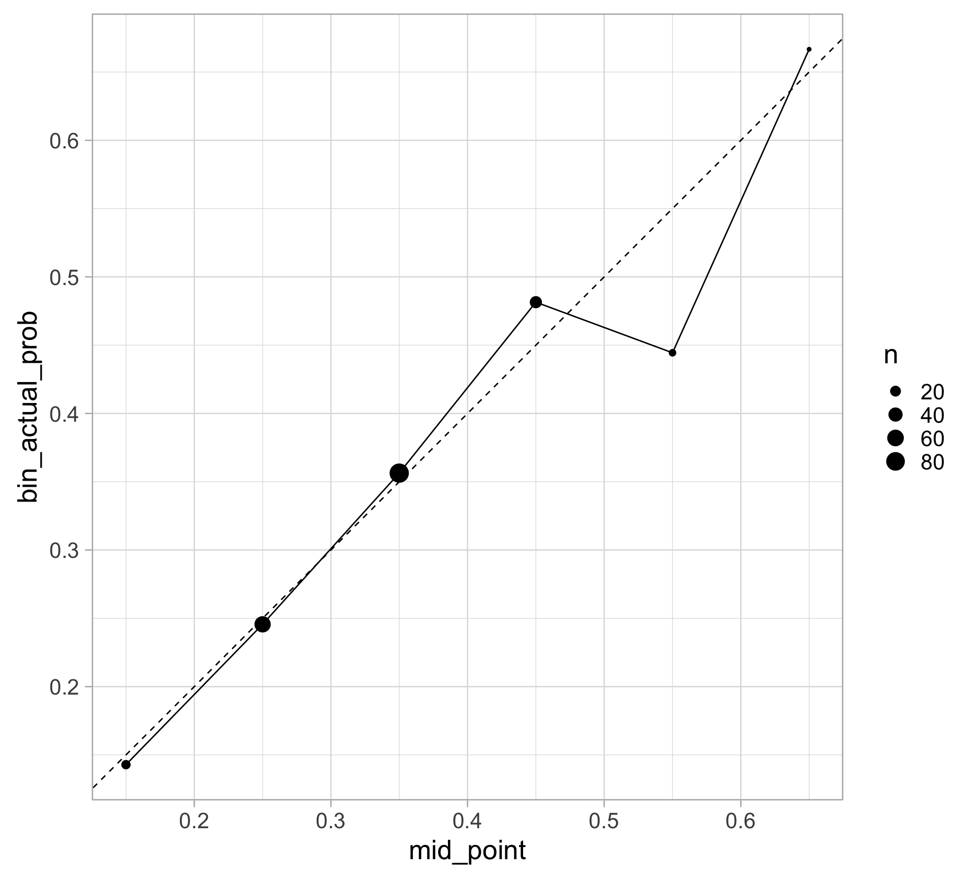
One of the most important tests of a forecast — I would argue that it is the single most important one — is called calibration. Out of all the times you said there was a 40 percent chance of rain, how often did rain actually occur? If, over the long run, it really did rain about 40 percent of the time, that means your forecasts were well calibrated. If it wound up raining just 20 percent of the time instead, or 60 percent of the time, they weren’t.
See also: Hosmer-Lemeshow test
Plot the observed outcome against the fitted probability, and apply a smoother
Looks good for the most part
odd behavior for high probability values
since there are only a few observations with high predicted probability

pima |>
mutate(
pred_prob = predict(pima_logit, type = "response"),
bin_pred_prob = cut(pred_prob, breaks = seq(0, 1, .1))
) |>
group_by(bin_pred_prob) |>
summarize(n = n(),
bin_actual_prob = mean(type == "Yes")) |>
mutate(mid_point = seq(0.15, 0.65, 0.1)) |>
ggplot(aes(x = mid_point, y = bin_actual_prob)) +
geom_point(aes(size = n)) +
geom_line() +
geom_abline(slope = 1, intercept = 0,
color = "black", linetype = "dashed") +
# expand_limits(x = c(0, 1), y = c(0, 1)) +
coord_fixed()
probably package in R
Formally, a classifier is calibrated (or well-calibrated) when \(P(Y = 1 \mid\hat p(X) = p) = p\)