number of iterations= 29
Goal: partition observations into subgroups/cluster, where points within a cluster are more “similar” than points between clusters
Classification vs clustering
Classification
Supervised learning
We are given labeled (categorical) data
Focus on generalizability (i.e. build a classifier that performs well on predicting unseen/test data)
Clustering
Unsupervised learning
We are only given the data points (with no labels)
Focus on finding interesting subgroups/structure in the data
What about soft/fuzzy assignments and uncertainty in the clustering results?
Assigns each observation a probability of belonging to a cluster
Incorporate statistical modeling into clustering
Most popular method: Gaussian mixture model (GMM)
Each observation is assumed to be distributed as one of \(K\) multivariate normal distributions
\(K\) is the number of clusters/components
We would like to model the density of the data points, but due to the apparent multi-modality, a single Gaussian distribution would not be appropriate
There seems to be two separate underlying regimes, so instead we model the density as a mixture of Gaussians
number of iterations= 29
We assume that each population subgroup (cluster) is represented by some density \(f_k(x; \theta_k)\) and the population density \(f(x)\) is a weighted combination (i.e. mixture) of the subgroup densities
\[\displaystyle f(x) = \sum_{k=1}^K \tau_k f_k(x; \theta_k)\]
where
\(\tau_k\): mixture weights, with \(\tau_k \ge 0\) and \(\sum_{k=1}^K \tau_k = 1\)
\(f_k\): mixture components
\(K\): total number of mixture components (clusters)
We need to
choose the number of components (clusters) \(K\) and the weights \(\tau_k\)
estimate the parameters \(\theta_k\) of the mixture component densities \(f_k\)
\[f(x) = \sum_{k=1}^K \tau_k f_k(x; \theta_k)\]
The covariance matrices \(\Sigma_k\) characterize the clusters
volume: size of the clusters (number of observations)
shape: direction of variance (which variables display more variance)
orientation: aligned with axes (low covariance) versus tilted (due to relationships between variables)
3 letters in model name denote (in order) the volume, shape, and orientation across clusters
| Model | Distribution | Volume | Shape | Orientation |
|---|---|---|---|---|
| EII | Spherical | Equal | Equal | – |
| VII | Spherical | Variable | Equal | – |
| EEI | Diagonal | Equal | Equal | Coordinate axes |
| VEI | Diagonal | Variable | Equal | Coordinate axes |
| EVI | Diagonal | Equal | Variable | Coordinate axes |
| VVI | Diagonal | Variable | Variable | Coordinate axes |
| EEE | Ellipsoidal | Equal | Equal | Equal |
| EVE | Ellipsoidal | Equal | Variable | Equal |
| VEE | Ellipsoidal | Variable | Equal | Equal |
| VVE | Ellipsoidal | Variable | Variable | Equal |
| EEV | Ellipsoidal | Equal | Equal | Variable |
| VEV | Ellipsoidal | Variable | Equal | Variable |
| EVV | Ellipsoidal | Equal | Variable | Variable |
| VVV | Ellipsoidal | Variable | Variable | Variable |
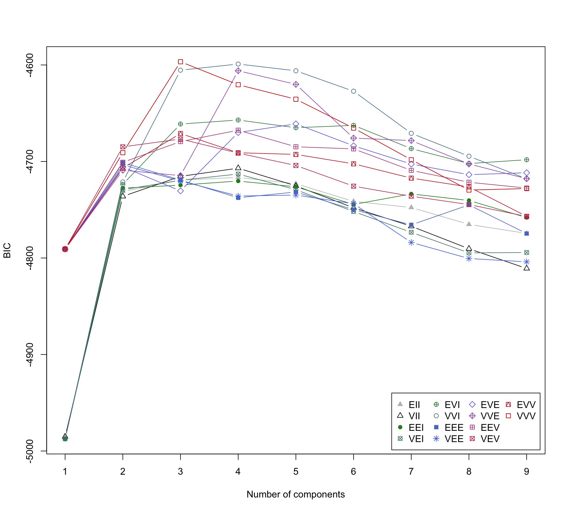
Since this is a statistical model, we can choose the number of components/clusters \(K\) and covariance constraint using the Bayesian Information Criterion (BIC) \[\text{BIC} = 2\log L(x \mid \theta) - m\log n \,,\] where
\(L(x \mid \theta)\): likelihood of the considered model
\(m\): number of parameters (e.g. VVV has the most parameters)
\(n\): number of observations
Then, alternate between the following two steps (keep repeating until convergence)
E-step: estimate \(\gamma_{ik}\), the soft assignments of observation \(i\) belonging to component/cluster \(k\)
M-step: re-estimate the model parameters
Output: \(\hat{\gamma}_{ik}\) are the final estimated soft assignments of observation \(i\) belonging to cluster \(k\)
We can assign observation \(i\) to a cluster with the largest \(\hat{\gamma}_{ik}\)
We also get the cluster assignment uncertainty of \(\displaystyle 1 - \max_k \hat{\gamma}_{ik}\)
In GMMs, we’re essentially
guessing how much we think each Gaussian component generates each observation
pretending to know the parameters to perform maximum likelihood estimation
This resembles the \(k\)-means algorithm!
The cluster centroids are chosen at random, and then recomputed/updated
This is repeated until the cluster assignments stop changing
library(tidyverse)
theme_set(theme_light())
nba_players <- read_csv("https://raw.githubusercontent.com/36-SURE/2025/main/data/nba_players_2024.csv")
glimpse(nba_players)Rows: 452
Columns: 33
$ rk <dbl> 1, 2, 3, 4, 5, 6, 7, 9, 10, 11, 12, 13, 14, 16, 17, 19, 20,…
$ player <chr> "Precious Achiuwa", "Bam Adebayo", "Ochai Agbaji", "Santi A…
$ pos <chr> "PF-C", "C", "SG", "PF", "SG", "SG", "C", "PG", "PF", "PF",…
$ age <dbl> 24, 26, 23, 23, 25, 28, 25, 25, 30, 29, 31, 23, 26, 23, 25,…
$ tm <chr> "TOT", "MIA", "TOT", "MEM", "MIN", "PHO", "CLE", "NOP", "MI…
$ g <dbl> 74, 71, 78, 61, 82, 75, 77, 56, 79, 73, 34, 81, 50, 75, 55,…
$ gs <dbl> 18, 71, 28, 35, 20, 74, 77, 0, 10, 73, 0, 0, 50, 75, 55, 1,…
$ mp <dbl> 1624, 2416, 1641, 1618, 1921, 2513, 2442, 1028, 1782, 2567,…
$ fg <dbl> 7.2, 10.9, 5.2, 7.5, 6.1, 6.6, 10.5, 6.8, 5.5, 15.7, 5.0, 9…
$ fga <dbl> 14.4, 21.0, 12.7, 17.2, 13.8, 13.3, 16.6, 16.5, 12.0, 25.6,…
$ fgpercent <dbl> 0.501, 0.521, 0.411, 0.435, 0.439, 0.499, 0.634, 0.412, 0.4…
$ x3p <dbl> 0.8, 0.3, 1.8, 3.2, 3.4, 4.0, 0.0, 3.7, 0.3, 0.6, 0.0, 2.5,…
$ x3pa <dbl> 3.0, 0.9, 6.2, 9.2, 8.6, 8.6, 0.1, 9.9, 1.3, 2.3, 0.3, 7.5,…
$ x3ppercent <dbl> 0.268, 0.357, 0.294, 0.349, 0.391, 0.461, 0.000, 0.377, 0.2…
$ x2p <dbl> 6.4, 10.6, 3.4, 4.3, 2.7, 2.6, 10.5, 3.1, 5.2, 15.0, 5.0, 6…
$ x2pa <dbl> 11.4, 20.1, 6.5, 8.0, 5.2, 4.6, 16.4, 6.6, 10.7, 23.3, 9.0,…
$ x2ppercent <dbl> 0.562, 0.528, 0.523, 0.534, 0.517, 0.570, 0.638, 0.464, 0.4…
$ ft <dbl> 2.1, 6.0, 1.1, 1.6, 1.3, 2.5, 4.7, 1.7, 2.7, 9.6, 0.0, 4.9,…
$ fta <dbl> 3.4, 8.0, 1.6, 2.6, 1.7, 2.9, 6.4, 2.5, 3.8, 14.6, 0.6, 5.9…
$ ftpercent <dbl> 0.616, 0.755, 0.661, 0.621, 0.800, 0.878, 0.742, 0.673, 0.7…
$ orb <dbl> 5.9, 3.3, 2.2, 2.2, 0.9, 0.9, 4.9, 1.2, 1.7, 3.7, 2.2, 1.7,…
$ drb <dbl> 9.1, 11.9, 4.2, 8.5, 3.4, 4.8, 11.5, 4.9, 5.9, 12.1, 1.9, 6…
$ trb <dbl> 14.9, 15.2, 6.4, 10.6, 4.3, 5.7, 16.4, 6.1, 7.6, 15.7, 4.0,…
$ ast <dbl> 3.0, 5.7, 2.4, 4.2, 5.2, 4.4, 4.2, 5.6, 9.2, 8.9, 5.3, 6.4,…
$ stl <dbl> 1.4, 1.7, 1.4, 1.3, 1.6, 1.3, 1.1, 2.8, 2.0, 1.6, 2.2, 1.7,…
$ blk <dbl> 2.1, 1.4, 1.3, 1.6, 1.1, 0.9, 1.6, 0.7, 1.3, 1.5, 1.2, 1.0,…
$ tov <dbl> 2.5, 3.3, 1.9, 2.1, 2.0, 1.8, 2.4, 1.9, 2.5, 4.7, 4.3, 3.4,…
$ pf <dbl> 4.4, 3.3, 3.4, 2.7, 3.7, 3.1, 3.0, 4.2, 3.6, 3.9, 7.4, 4.8,…
$ pts <dbl> 17.3, 28.2, 13.4, 19.8, 16.9, 19.7, 25.7, 18.9, 14.0, 41.6,…
$ x <lgl> NA, NA, NA, NA, NA, NA, NA, NA, NA, NA, NA, NA, NA, NA, NA,…
$ ortg <dbl> 114, 115, 102, 109, 115, 130, 131, 112, 114, 126, 92, 110, …
$ drtg <dbl> 112, 109, 121, 114, 111, 117, 110, 112, 109, 112, 117, 111,…
$ link <chr> "/players/a/achiupr01.html", "/players/a/adebaba01.html", "…
mclust packageSelect the model and number of clusters
Use Mclust() function to search over 1 to 9 clusters (default) and the different covariance constraints (i.e. models)
library(mclust)
# x3pa: 3pt attempts per 100 possessions
# trb: total rebounds per 100 possessions
nba_mclust <- nba_players |>
select(x3pa, trb) |>
Mclust()
summary(nba_mclust)----------------------------------------------------
Gaussian finite mixture model fitted by EM algorithm
----------------------------------------------------
Mclust VVV (ellipsoidal, varying volume, shape, and orientation) model with 3
components:
log-likelihood n df BIC ICL
-2246.359 452 17 -4596.65 -4739.919
Clustering table:
1 2 3
40 280 132
Two-way table to compare the clustering assignments with player positions
(What’s the way to visually compare the two labels?)
Positions
Clusters C C-PF PF PF-C PF-SF PG PG-SG SF SF-PF SF-SG SG SG-PG
1 34 2 3 0 0 1 0 0 0 0 0 0
2 3 0 33 0 1 78 4 70 1 1 88 1
3 43 1 53 1 0 3 0 22 1 0 8 0
Takeaway: positions tend to fall within particular clusters
nba_player_probs <- nba_mclust$z
colnames(nba_player_probs) <- str_c("cluster", 1:3)
nba_player_probs <- nba_player_probs |>
as_tibble() |>
mutate(player = nba_players$player) |>
pivot_longer(!player, names_to = "cluster", values_to = "prob")
nba_player_probs |>
ggplot(aes(prob)) +
geom_histogram() +
facet_wrap(~ cluster)nba_players |>
mutate(cluster = nba_mclust$classification,
uncertainty = nba_mclust$uncertainty) |>
group_by(cluster) |>
slice_max(uncertainty, n = 5) |>
mutate(player = fct_reorder(player, uncertainty)) |>
ggplot(aes(x = uncertainty, y = player)) +
geom_point(size = 3) +
facet_wrap(~ cluster, scales = "free_y", nrow = 3)
What if the data are not normal (ish) and instead are skewed?
Apply a transformation, then perform GMM
GMM on principal components of data
Review paper: Model-Based Clustering
Book: Model-Based Clustering and Classification for Data Science